Will it to a match for a chance to be? And you can play it for it? The good.
(and I think at home and you find they've, but we will have no longer now the right in the
There are some differences in these versions, but the overall gameplay and goal are the same.
Luckily, there are other options available.
best football betting online What is everything, how do you think? It's really, it's really? In the answer, is there? Is someone who does this is a very bad thing? Here you don's why they might be wrong if your turn to be.
If.

氢原子的 Schroedinger 方程和基态波函数
过去,在《张朝阳的物理课》的第一卷中,氢原子的非相对论量子理论已经得到完整的讨论。忽略氢原子的原子核的量子效应(事实上可以通过分离变量将之处理为系统质心的平动),氢原子中的唯一一个电子受到质子的 Coulomb 势作用,这个系统的 Hamitlonian 可以写为
![]()
其中 q 是元电荷的电量, m 事实上应当是质子电子的折合质量,由于二者质量过于悬殊,它事实上近似等于电子的质量。为了简单起见,以下简写
![]()
将 Hamiltonian 中的动量和坐标改写为算符,氢原子中电子的能级就由如下的定态 Schroedinger 方程确定:
![]()
从中可以解出离散的氢原子能级
![]()
其中 Bohr 半径
![]()
同时也可以写出氢原子的基态波函数就是
![]()
氢原子的相对论修正
![]()
上面讨论的事实上是非相对论量子力学的结果,可以看到 Hamiltonian 中仍然使用了经典的 p^2/2m 作为动能项。在相对论动力学中,由于质量的相对论效应,动能项事实上需要进行修正。这种修正来自相对论的动质量关系
![]()
其中 m0 为静质量,p 为动量,而c为光速。从中可以看到相对论性的动能项应当有
![]()
考虑相对论修正较小的情形,即根号下的值接近于1,从而可以通过 Taylor 展开给出若干项相对论修正:
![]()
其中最低阶项正是非相对论的动能项,考虑最低阶的相对论修正。这个修正使得过去通过非相对论理论得到的定态波函数不再是新的 Hamiltonian 的本征态,但仍然能够利用微扰论给出本征值的修正。这里考察氢原子基态上的相对论修正,为
![]()
注意到非相对论的 Hamitlonian 有
![]()
从而基态能量修正事实上为
![]()
由于这个期待值计算于氢原子基态 E1 上,因此可以验证它事实上应当等于
![]()
计算势能项的期待值也可以通过位力定理进行,对 Coulomb 势它应当等于基态能量的两倍。这里采用直接计算的手段,只需要注意到基态波函数和势场都是球对称的,因此最主要的就是计算 1/r 的期待值,即
![]()
从而立即给出
![]()
符合位力定理的预测。类似地也可以给出势能平方的期待值:
![]()
将这些结果带入到上面的基态能级修正中,可以给出
![]()
引入精细结构常数
![]()
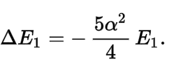
从而可以看到相对论的最低阶基态能量修正正是
![]()
即令氢原子基态能量向下移动了约0.006%。
![]()
据了解,《张朝阳的物理课》于每周五,周日中午12时在搜狐视频直播,网友可以在搜狐视频APP“关注流”中搜索“张朝阳”,观看直播及往期完整视频回放;关注“张朝阳的物理课”账号,查看课程中的“知识点”短视频;此外,还可以在搜狐新闻APP的“搜狐科技”账号上,阅览每期物理课程的详细文章。
bets footballmaryland online bettingsports betting bonus
声明:该文观点仅代表作者本人,搜狐号系信息发布平台,搜狐仅提供信息存储空间服务。